परिषद‍ीय विद्यालयों की अवकाश तालिका वर्ष 2025 देखें व करें डाउनलोड

👇Primary Ka Master Latest Updates👇

गुरुवार, 22 जून 2023

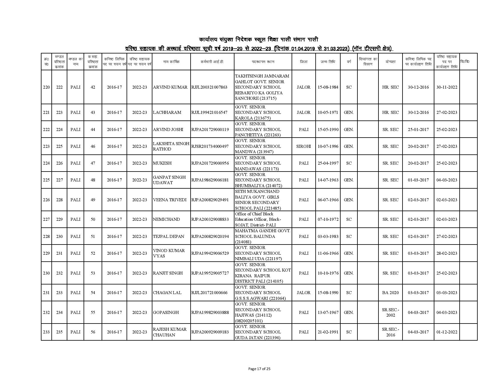
पाली मण्डल की वर्ष 2019-20 से 2022-23 की वरिष्ठ सहायक की अस्थाई वरिष्ठता सूची (नॉन टीएसपी क्षेत्र एवं टीएसपी क्षेत्र) में आक्षेप प्राप्त कर भिजवाने बाबत् ।

पाली मण्डल की वर्ष 2019-20 से 2022-23 की वरिष्ठ सहायक की अस्थाई वरिष्ठता सूची (नॉन टीएसपी क्षेत्र एवं टीएसपी क्षेत्र) में आक्षेप प्राप्त कर भिजवाने बाबत् ।





























पाली मण्डल की वर्ष 2019-20 से 2022-23 की वरिष्ठ सहायक की अस्थाई वरिष्ठता सूची (नॉन टीएसपी क्षेत्र एवं टीएसपी क्षेत्र) में आक्षेप प्राप्त कर भिजवाने बाबत् । Rating: 4.5 Diposkan Oleh: UP BASIC NEWS

0 Comments:

एक टिप्पणी भेजें